Online Database of Chemicals from Around the World

化学品安全技术说明书

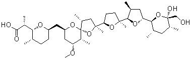
尼日利亚菌素
[ CAS# 28380-24-7 ]

产品概述

structure of CAS# 28380-24-7, 尼日利亚菌素
产品名称 尼日利亚菌素
CAS 登录号 28380-24-7
分子式 C40H68O11
分子量 724.96
尼日利亚菌素的详细资料
尼日利亚菌素的供应商
 
资料来源 SDS 样本
Alfa-Aesar
www.alfa.com/en/content/msds/USA/J61349.pdf
浏览或下载

免责声明

本页所列之化学品安全技术说明书样本系 chemBlink 公司搜集的互联网公开信息,仅用于指导化学品安全技术说明书的编辑与制作。chemBlink 竭诚提供可靠信息,然而不承诺其完备与准确。 阅读全文...




相关化学品安全技术说明书
2-甲基-6-三氟甲基-4-羟基嘧啶   2-氟苯基丙酮   芦荟甙 B   2,2-二氯-N-[3-(三氟甲基)苯基]乙酰胺   1,1,1,2-四氟-2-氯乙烷   四环[14.2.2.24,7.210,13]二十四碳-4,6,10,12,16,18,19,21,23-九烯   6-苯基苯并咪唑并[1,2-c]喹唑啉   1-(1,2-二苯基乙基)哌啶盐酸盐   2-甲基-2-丙基(3-羟基苄基)氨基甲酸酯   2,4-二十一二炔酸