Online Database of Chemicals from Around the World

SDS Samples

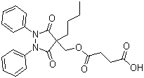
Suxibuzone
[ CAS# 27470-51-5 ]

Product Info

structure of CAS# 27470-51-5, Suxibuzone
Product Name Suxibuzone
CAS Registry Number 27470-51-5
Molecular Formula C24H26N2O6
Molecular Weight 438.47
More information of Suxibuzone
Suppliers of Suxibuzone
 
Source SDS Document
Sigma-Aldrich
www.sigmaaldrich.com/catalog/Lookup.do?N5=All&N3=mode+matchpartialmax&N1=S_ID&ST=RS&N25=0&F=PR&D7=0&N4=27470-51-5
View / download

Disclaimer

The SDS samples above are collected from the Internet by chemBlink and displayed here for the tutorial purpose only. chemBlink LLC provides the information contained herein in good faith but makes no representation as to its comprehensiveness or accuracy. Read full context...


More SDS files for chemicals
N-[(3aS,4R,6S,6aR)-Tetrahydro-6-(2-hydroxyethoxy)-2,2-dimethyl-4H-cyclopenta-1,3-dioxol-4-yl]carbamic acid phenylmethyl ester   2-[[(3aR,4S,6R,6aS)-6-Aminotetrahydro-2,2-dimethyl-4H-cyclopenta-1,3-dioxol-4-yl]oxy]ethanol   4,4'-Difluorobenzhydrylpiperazine   1-[Bis(4-Chlorophenyl)Methyl]-Piperazine   [4-(Bromomethyl)-2-Oxochromen-7-Yl] Acetate   7-Acetoxy-4-methylcoumarin   Pyrazolo[1,5-a]pyrimidine   3,4-Diethoxyphenylacetonitrile   N,N-Dimethyl-4-Phenyldiazenylbenzeneamine Oxide   2-Amino-2,3-dihydro-1H-indene-2-carboxylic acid