Online Database of Chemicals from Around the World

化学品安全技术说明书

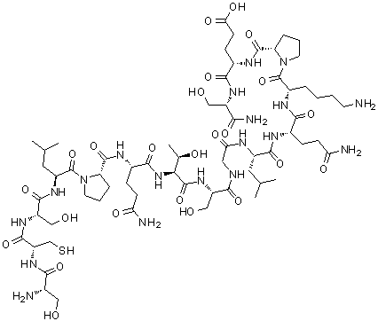
小鼠瘦素(116-130)酰胺
[ CAS# 258276-95-8 ]

产品概述

structure of CAS# 258276-95-8, 小鼠瘦素(116-130)酰胺
产品名称 小鼠瘦素(116-130)酰胺
CAS 登录号 258276-95-8
分子式 C64H109N19O24S
分子量 1560.73
小鼠瘦素(116-130)酰胺的详细资料
小鼠瘦素(116-130)酰胺的供应商
 
资料来源 SDS 样本
Sigma-Aldrich
www.sigmaaldrich.com/catalog/Lookup.do?N5=All&N3=mode+matchpartialmax&N1=S_ID&ST=RS&N25=0&F=PR&D7=0&N4=258276-95-8
浏览或下载

免责声明

本页所列之化学品安全技术说明书样本系 chemBlink 公司搜集的互联网公开信息,仅用于指导化学品安全技术说明书的编辑与制作。chemBlink 竭诚提供可靠信息,然而不承诺其完备与准确。 阅读全文...




相关化学品安全技术说明书
3-氟-4-异丙氧基苯甲酸   3-氰基-4-异丙氧基苯甲酸   3-氰基-4-乙氧基苯甲酸   6-甲基-2-(4-甲基苯基)咪唑[1,2-a]吡啶-3-乙酸甲酯   Stafia-1   1,3-双(2,6-二异丙基苯基)氯化咪唑啉鎓   1,3-双(2,6-二异丙基苯基)咪唑烷-2-亚基   甲基2-({4-[(硝基氧基)甲基]苯甲酰基}硫基)苯甲酸酯   胃饥饿素(人)   六-O-(三甲基硅烷基)肌醇