Online Database of Chemicals from Around the World

化学品安全技术说明书

1-[(7-甲氧基-2-氧代-2H-1-苯并吡喃-4-基)乙酰基]-L-脯氨酰-3-环己基-L-丙氨酰甘氨酰-L-正缬氨酰-L-组氨酰-L-丙氨酰-3-[(2,4-二硝基苯基)氨基]-L-丙氨酰胺
[ CAS# 256394-94-2 ]

产品概述

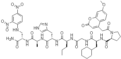
structure of CAS# 256394-94-2, 1-[(7-甲氧基-2-氧代-2H-1-苯并吡喃-4-基)乙酰基]-L-脯氨酰-3-环己基-L-丙氨酰甘氨酰-L-正缬氨酰-L-组氨酰-L-丙氨酰-3-[(2,4-二硝基苯基)氨基]-L-丙氨酰胺
产品名称 1-[(7-甲氧基-2-氧代-2H-1-苯并吡喃-4-基)乙酰基]-L-脯氨酰-3-环己基-L-丙氨酰甘氨酰-L-正缬氨酰-L-组氨酰-L-丙氨酰-3-[(2,4-二硝基苯基)氨基]-L-丙氨酰胺
CAS 登录号 256394-94-2
分子式 C51H65N13O15
分子量 1100.14
1-[(7-甲氧基-2-氧代-2H-1-苯并吡喃-4-基)乙酰基]-L-脯氨酰-3-环己基-L-丙氨酰甘氨酰-L-正缬氨酰-L-组氨酰-L-丙氨酰-3-[(2,4-二硝基苯基)氨基]-L-丙氨酰胺的详细资料
1-[(7-甲氧基-2-氧代-2H-1-苯并吡喃-4-基)乙酰基]-L-脯氨酰-3-环己基-L-丙氨酰甘氨酰-L-正缬氨酰-L-组氨酰-L-丙氨酰-3-[(2,4-二硝基苯基)氨基]-L-丙氨酰胺的供应商
 
资料来源 SDS 样本
Cayman
www.caymanchem.com/msdss/24702m.pdf
浏览或下载

免责声明

本页所列之化学品安全技术说明书样本系 chemBlink 公司搜集的互联网公开信息,仅用于指导化学品安全技术说明书的编辑与制作。chemBlink 竭诚提供可靠信息,然而不承诺其完备与准确。 阅读全文...




相关化学品安全技术说明书
(4-庚基苯基)硼酸   4-壬基苯硼酸   (6,6'-二甲氧基-2,2'-联苯二基)二[二(3,4,5-三甲氧基苯基)膦]   甲基丙烯酸十八酯聚合物   甲基环己醇   2,2,2-三氯-N-(3-甲基苯基)乙酰胺   2,2,2-三氯-N-苯基乙酰胺   2-氯-N-(4-碘苯基)乙酰胺   2-氯-N-(3-碘苯基)乙酰胺   N-(4-溴苯基)-2-氯乙酰胺