Online Database of Chemicals from Around the World

化学品安全技术说明书

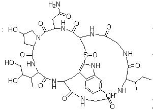
alpha-毒伞肽
[ CAS# 23109-05-9 ]

产品概述

structure of CAS# 23109-05-9, alpha-毒伞肽
产品名称 alpha-毒伞肽
CAS 登录号 23109-05-9
分子式 C39H54N10O14S
分子量 918.97
alpha-毒伞肽的详细资料
alpha-毒伞肽的供应商
 
资料来源 SDS 样本
Sigma-Aldrich
www.sigmaaldrich.com/catalog/Lookup.do?N5=All&N3=mode+matchpartialmax&N1=S_ID&ST=RS&N25=0&F=PR&D7=0&N4=23109-05-9
浏览或下载
Cayman
www.caymanchem.com/msdss/17898m.pdf
浏览或下载

免责声明

本页所列之化学品安全技术说明书样本系 chemBlink 公司搜集的互联网公开信息,仅用于指导化学品安全技术说明书的编辑与制作。chemBlink 竭诚提供可靠信息,然而不承诺其完备与准确。 阅读全文...




相关化学品安全技术说明书
6-氯烟醛   伏杀磷   甲酸钠-13C   抗蚜威   甲基(三苯基膦)金(I)   烟曲霉素   3-氨基甲酰-1-beta-D-呋喃核糖基吡啶鎓氯化物   1-溴-1-氟乙烷   4-(2,4-二甲氧基-苯基)-噻唑-2-胺   2,6-二甲氧基苯硼酸