Online Database of Chemicals from Around the World

化学品安全技术说明书

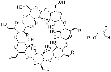
3A,3B,3C,3D,6E,6F,6G-七-O-(羧甲基)-beta-环糊精
[ CAS# 218269-34-2 ]

产品概述

structure of CAS# 218269-34-2, 3A,3B,3C,3D,6E,6F,6G-七-O-(羧甲基)-beta-环糊精
产品名称 3A,3B,3C,3D,6E,6F,6G-七-O-(羧甲基)-beta-环糊精
CAS 登录号 218269-34-2
分子式 C56H84O49
分子量 1541.24
3A,3B,3C,3D,6E,6F,6G-七-O-(羧甲基)-beta-环糊精的详细资料
3A,3B,3C,3D,6E,6F,6G-七-O-(羧甲基)-beta-环糊精的供应商
 
资料来源 SDS 样本
Ambeed
file.ambeed.com/static/upload/prosds/am/328/SDS-A327386.pdf
浏览或下载

免责声明

本页所列之化学品安全技术说明书样本系 chemBlink 公司搜集的互联网公开信息,仅用于指导化学品安全技术说明书的编辑与制作。chemBlink 竭诚提供可靠信息,然而不承诺其完备与准确。 阅读全文...




相关化学品安全技术说明书
4-(5-甲酰基-2-呋喃基)-苯磺酰胺   文多灵   2-甲基-2-(苯基氨基)丙腈   环己基乙烯基醚   二甲基二乙酰氧基硅烷   2-巯基-6-甲氧基苯并噻唑   N-1-Boc-N-4-Fmoc-2-哌嗪甲酸   (S)-3-氨基-5-苯基戊酸盐酸盐   4-(1,3-苯并噻唑-2-基)苯甲酸   2-氯-N-(3-氰基苯基)乙酰胺