Online Database of Chemicals from Around the World

化学品安全技术说明书

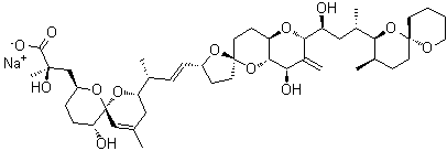
冈田软海绵酸钠盐
[ CAS# 209266-80-8 ]

产品概述

structure of CAS# 209266-80-8, 冈田软海绵酸钠盐
产品名称 冈田软海绵酸钠盐
CAS 登录号 209266-80-8
分子式 C44H67O13.Na
分子量 826.98
冈田软海绵酸钠盐的详细资料
冈田软海绵酸钠盐的供应商
 
资料来源 SDS 样本
Alfa-Aesar
www.alfa.com/en/content/msds/USA/J62463.pdf
浏览或下载
Sigma-Aldrich
www.sigmaaldrich.com/catalog/Lookup.do?N5=All&N3=mode+matchpartialmax&N1=S_ID&ST=RS&N25=0&F=PR&D7=0&N4=209266-80-8
浏览或下载
Acros-Organics
www.acros.com/DesktopModules/Acros_Search_Results/Acros_Search_Results.aspx?search_type=CAS&SearchString=209266-80-8
浏览或下载

免责声明

本页所列之化学品安全技术说明书样本系 chemBlink 公司搜集的互联网公开信息,仅用于指导化学品安全技术说明书的编辑与制作。chemBlink 竭诚提供可靠信息,然而不承诺其完备与准确。 阅读全文...




相关化学品安全技术说明书
五氯苯甲腈   2,6-二(二甲基氨基)-苯甲腈   2-溴-N,N-二甲基异烟酰胺   2-氯-N,N-二甲基异烟酰胺   (2R)-3-[(4S,6R,7R,10S)-4-[(E,1R)-3-[(2S,2'R,4R,4aS,6R,8aR)-4-羟基-2-[(1S,3S)-1-羟基-3-[(6S,9R,10S)-9-甲基-5,11-二氧杂螺[5.5]十一烷-10-基]丁基]-3-亚甲基-螺[4A,7,8,8A-四氢-4H-吡喃并[3,2-b]吡喃-6,5'-四氢呋喃]-2'-基]-1-甲基-烯丙基]-7-羟基-2-甲基-5,11-二氧杂螺[5.5]十一碳-1-烯-10-基]-2-羟基-2-甲基-丙酸钾   7-(溴甲基)-1-氯异喹啉   3-甲氧基-2-羟基吡啶   2-溴甲基-4-氯噻吩并[3,2-c]吡啶   1-氯-6-甲基异喹啉   2-碘吡啶-3-胺