Online Database of Chemicals from Around the World

化学品安全技术说明书

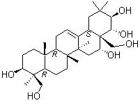
原七叶皂苷元
[ CAS# 20853-07-0 ]

产品概述

structure of CAS# 20853-07-0, 原七叶皂苷元
产品名称 原七叶皂苷元
CAS 登录号 20853-07-0
分子式 C30H50O6
分子量 506.71
原七叶皂苷元的详细资料
原七叶皂苷元的供应商
 
资料来源 SDS 样本
Sigma-Aldrich
www.sigmaaldrich.com/catalog/Lookup.do?N5=All&N3=mode+matchpartialmax&N1=S_ID&ST=RS&N25=0&F=PR&D7=0&N4=20853-07-0
浏览或下载

免责声明

本页所列之化学品安全技术说明书样本系 chemBlink 公司搜集的互联网公开信息,仅用于指导化学品安全技术说明书的编辑与制作。chemBlink 竭诚提供可靠信息,然而不承诺其完备与准确。 阅读全文...




相关化学品安全技术说明书
2-三氟甲基烟酸乙酯   5-(3,4-二甲氧基苯基)-1H-吡唑-3-胺   3-氨基-5-(3-氯苯基)-1H-吡唑   5-[4-(二甲基氨基)苯基]-1H-吡唑-3-胺   (2S)-2-[[叔丁氧羰基]氨基]-5-己炔酸   6-氨基-4-氯喹唑啉   8-羟基喹啉铝   阿维巴坦杂质3   米卡芬净钠   4'-甲氧基-[1,1'-联苯]-4-甲醇