Online Database of Chemicals from Around the World

SDS Samples

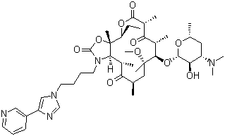
Telithromycin
[ CAS# 191114-48-4 ]

Product Info

structure of CAS# 191114-48-4, Telithromycin
Product Name Telithromycin
CAS Registry Number 191114-48-4
Molecular Formula C43H65N5O10
Molecular Weight 812.00
More information of Telithromycin
Suppliers of Telithromycin
 
Source SDS Document
Alfa-Aesar
www.alfa.com/en/content/msds/USA/J66820.pdf
View / download
Sigma-Aldrich
www.sigmaaldrich.com/catalog/Lookup.do?N5=All&N3=mode+matchpartialmax&N1=S_ID&ST=RS&N25=0&F=PR&D7=0&N4=191114-48-4
View / download
Biosynth
www.biosynth.com/downloadPDF/MSDS_T-1460_1000_EN.pdf
View / download

Disclaimer

The SDS samples above are collected from the Internet by chemBlink and displayed here for the tutorial purpose only. chemBlink LLC provides the information contained herein in good faith but makes no representation as to its comprehensiveness or accuracy. Read full context...


More SDS files for chemicals
(4R)-5,5-Diphenyl-4-benzyl-2-oxazolidinone   GGTI-2133   GGTI-2147   1-Trityl-1H-imidazole-4-carboxylic acid   3-Vinyl-5-bromopyridine   2-Bromotriphenylene   2-Chloro-beta-Oxo-Benzenepropanoic Acid Ethyl Ester   3-Methyl-4,5-Dihydro-1H-Pyrazole   4-Bromo-N'-Hydroxybenzenecarboximidamide   Benzyl 6-Hydroxynicotinate