Online Database of Chemicals from Around the World

化学品安全技术说明书

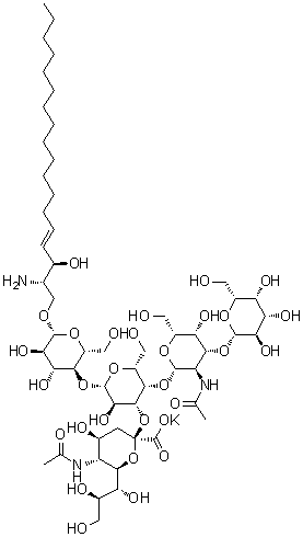
(2S,3R,4E)-2-氨基-3-羟基-4-十八碳烯基 O-(N-乙酰基-alpha-神经胺酸基)-(2→3)-O-[O-beta-D-吡喃半乳糖基-(1→3)-2-(乙酰氨基)-2-脱氧-beta-D-吡喃半乳糖基-(1→4)]-O-beta-D-吡喃半乳糖基-(1→4)-beta-D-吡喃葡萄糖苷单钾盐
[ CAS# 171483-40-2 ]

产品概述

structure of CAS# 171483-40-2, (2S,3R,4E)-2-氨基-3-羟基-4-十八碳烯基 O-(N-乙酰基-alpha-神经胺酸基)-(2→3)-O-[O-beta-D-吡喃半乳糖基-(1→3)-2-(乙酰氨基)-2-脱氧-beta-D-吡喃半乳糖基-(1→4)]-O-beta-D-吡喃半乳糖基-(1→4)-beta-D-吡喃葡萄糖苷单钾盐
产品名称 (2S,3R,4E)-2-氨基-3-羟基-4-十八碳烯基 O-(N-乙酰基-alpha-神经胺酸基)-(2→3)-O-[O-beta-D-吡喃半乳糖基-(1→3)-2-(乙酰氨基)-2-脱氧-beta-D-吡喃半乳糖基-(1→4)]-O-beta-D-吡喃半乳糖基-(1→4)-beta-D-吡喃葡萄糖苷单钾盐
CAS 登录号 171483-40-2
分子式 C55H96N3O30K
分子量 1318.45
(2S,3R,4E)-2-氨基-3-羟基-4-十八碳烯基 O-(N-乙酰基-alpha-神经胺酸基)-(2→3)-O-[O-beta-D-吡喃半乳糖基-(1→3)-2-(乙酰氨基)-2-脱氧-beta-D-吡喃半乳糖基-(1→4)]-O-beta-D-吡喃半乳糖基-(1→4)-beta-D-吡喃葡萄糖苷单钾盐的详细资料
(2S,3R,4E)-2-氨基-3-羟基-4-十八碳烯基 O-(N-乙酰基-alpha-神经胺酸基)-(2→3)-O-[O-beta-D-吡喃半乳糖基-(1→3)-2-(乙酰氨基)-2-脱氧-beta-D-吡喃半乳糖基-(1→4)]-O-beta-D-吡喃半乳糖基-(1→4)-beta-D-吡喃葡萄糖苷单钾盐的供应商
 
资料来源 SDS 样本
Sigma-Aldrich
www.sigmaaldrich.com/catalog/Lookup.do?N5=All&N3=mode+matchpartialmax&N1=S_ID&ST=RS&N25=0&F=PR&D7=0&N4=171483-40-2
浏览或下载

免责声明

本页所列之化学品安全技术说明书样本系 chemBlink 公司搜集的互联网公开信息,仅用于指导化学品安全技术说明书的编辑与制作。chemBlink 竭诚提供可靠信息,然而不承诺其完备与准确。 阅读全文...




相关化学品安全技术说明书
氯二甲基苯乙基硅烷   [3-(氯二甲基硅烷基)丙基]-苯   3,5-二甲基异噁唑-4-甲酸乙酯   3-乙基-5-甲基-4-异恶唑羧酸   (2R,3S)-2-[(1R)-1-[3,5-双(三氟甲基)苯基]乙氧基]-3-(4-氟苯基)吗啉盐酸盐   2-甲氧基-5-氟嘧啶   肉豆蔻木脂素   (1R,3R)-1-(1,3-苯并二氧戊环-5-基)-2-(氯乙酰基)-2,3,4,9-四氢-1H-吡啶并[3,4-b]吲哚-3-羧酸甲酯   道古霉素   Rineterkib