Online Database of Chemicals from Around the World

化学品安全技术说明书

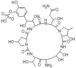
米卡芬净杂质 FR-179642
[ CAS# 168110-44-9 ]

产品概述

structure of CAS# 168110-44-9, 米卡芬净杂质 FR-179642
产品名称 米卡芬净杂质 FR-179642
CAS 登录号 168110-44-9
分子式 C35H52N8O20S
分子量 936.90
米卡芬净杂质 FR-179642的详细资料
米卡芬净杂质 FR-179642的供应商
 
资料来源 SDS 样本
Ambeed
file.ambeed.com/static/upload/prosds/am/416/SDS-A415708.pdf
浏览或下载

免责声明

本页所列之化学品安全技术说明书样本系 chemBlink 公司搜集的互联网公开信息,仅用于指导化学品安全技术说明书的编辑与制作。chemBlink 竭诚提供可靠信息,然而不承诺其完备与准确。 阅读全文...




相关化学品安全技术说明书
嘧啶肟草醚   2-甲基-2-丙烯酸钙盐(2:1)   乙基3-氟-1H-吡咯-2-羧酸酯   二[双(三氟甲磺酰)亚胺]锌   6-甲基-1H-嘌呤-2-胺   2-氯嘌呤   3-乙酰基-3-甲基戊烷二甲腈   7-溴-1,4-二氢-吡啶并[2,3-b]吡嗪-2,3-二酮   硫化镍   2,6-二(咔唑-9-基)吡啶