Online Database of Chemicals from Around the World

化学品安全技术说明书

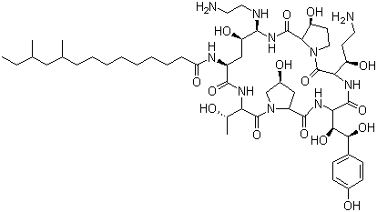
卡泊芬净
[ CAS# 162808-62-0 ]

产品概述

structure of CAS# 162808-62-0, 卡泊芬净
产品名称 卡泊芬净
CAS 登录号 162808-62-0
分子式 C52H88N10O15
分子量 1093.31
卡泊芬净的详细资料
卡泊芬净的供应商
 
资料来源 SDS 样本
Biosynth
www.biosynth.com/downloadPDF/MSDS_C-2040_1000_EN.pdf
浏览或下载

免责声明

本页所列之化学品安全技术说明书样本系 chemBlink 公司搜集的互联网公开信息,仅用于指导化学品安全技术说明书的编辑与制作。chemBlink 竭诚提供可靠信息,然而不承诺其完备与准确。 阅读全文...




相关化学品安全技术说明书
苯并[b]萘并[2,3-d]呋喃-2-基硼酸   PLX51107   4-(1H-1,2,3-三唑-1-基)苯胺   4-溴-2-(1H-吡咯并[2,3-b]吡啶-5-基氧基)苯甲酸叔丁酯   1-[[2-(4-氯苯基)-4,4-二甲基-1-环己烯-1-基]甲基]哌嗪二盐酸盐   二氯(3-氯-2-甲基丙基)甲基-硅烷   3-羟基-3-甲基氧杂环丁烷   4,7-二氢-6-(1-甲基乙基)-7-氧代-5-苯基吡唑并[1,5-a]嘧啶-3-甲腈   1,2-二苯基-1-丁酮   八氢-2H,2'H-2,2'-联吡喃