Online Database of Chemicals from Around the World

SDS Samples

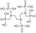
Diethylenetriaminepenta(methylene-phosphonic acid)
[ CAS# 15827-60-8 ]

Product Info

structure of CAS# 15827-60-8, Diethylenetriaminepenta(methylene-phosphonic acid)
Product Name Diethylenetriaminepenta(methylene-phosphonic acid)
CAS Registry Number 15827-60-8
Molecular Formula C9H28N3O15P5
Molecular Weight 573.20
More information of Diethylenetriaminepenta(methylene-phosphonic acid)
Suppliers of Diethylenetriaminepenta(methylene-phosphonic acid)
 
Source SDS Document
Ambeed
file.ambeed.com/static/upload/prosds/am/330/SDS-A329794.pdf
View / download

Disclaimer

The SDS samples above are collected from the Internet by chemBlink and displayed here for the tutorial purpose only. chemBlink LLC provides the information contained herein in good faith but makes no representation as to its comprehensiveness or accuracy. Read full context...


More SDS files for chemicals
3-(1-Pyrrolidinyl)-1-Butanol   Sodium cromoglycate   Acetanilide-2',3',4',5',6'-D5   cis-1,4-Cyclohexanediamine   1-Ethoxycarbonyl-5-methyl-(3R)-3-tert-butyl-dimethylsilyloxypentanedioate   N6-(2-Pyridinylcarbonyl)-L-Lysine   2,5-Diphenyl-Pyridine   4-Amino-3-pyridinecarbonitrile   4-Amino-3-chloro-5-methylbenzonitrile   3-(2-Bromo-1-oxopropyl)-spiro[2H-1,3-benzoxazine-2,1'-cyclohexan]-4(3H)-one