Online Database of Chemicals from Around the World

化学品安全技术说明书

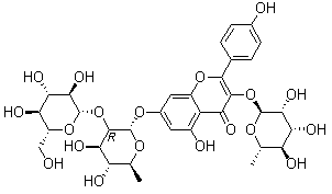
罗汉果黄素
[ CAS# 156980-60-8 ]

产品概述

structure of CAS# 156980-60-8, 罗汉果黄素
产品名称 罗汉果黄素
CAS 登录号 156980-60-8
分子式 C33H40O19
分子量 740.66
罗汉果黄素的详细资料
罗汉果黄素的供应商
 
资料来源 SDS 样本
Ambeed
file.ambeed.com/static/upload/prosds/am/894/SDS-A893023.pdf
浏览或下载

免责声明

本页所列之化学品安全技术说明书样本系 chemBlink 公司搜集的互联网公开信息,仅用于指导化学品安全技术说明书的编辑与制作。chemBlink 竭诚提供可靠信息,然而不承诺其完备与准确。 阅读全文...




相关化学品安全技术说明书
环己硫醇   吡唑并[1,5-a]吡啶-5-醇   1,7-二苄基-1,4,7,10-四氮杂环十二烷   5-氨基甲基-2-氨基吡啶   异柳叶木兰碱   2-(2-呋喃基)-4-甲基-1,3-苯并噻唑   N-[2-(2-溴-1H-吲哚-3-基)乙基]-乙酰胺   2-(2-呋喃基)-苯并噻唑   3,4-二(苄氧基)苯甲酸   (R)-2-甲基吡咯烷-1-羧酸叔丁酯