Online Database of Chemicals from Around the World

化学品安全技术说明书

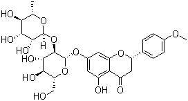
枸橘苷
[ CAS# 14941-08-3 ]

产品概述

structure of CAS# 14941-08-3, 枸橘苷
产品名称 枸橘苷
CAS 登录号 14941-08-3
分子式 C28H34O14
分子量 594.56
枸橘苷的详细资料
枸橘苷的供应商
 
资料来源 SDS 样本
Sigma-Aldrich
www.sigmaaldrich.com/catalog/Lookup.do?N5=All&N3=mode+matchpartialmax&N1=S_ID&ST=RS&N25=0&F=PR&D7=0&N4=14941-08-3
浏览或下载
Carl-Roth
www.carlroth.com/downloads/sdb/en/7/SDB_7413_GB_EN.pdf
浏览或下载

免责声明

本页所列之化学品安全技术说明书样本系 chemBlink 公司搜集的互联网公开信息,仅用于指导化学品安全技术说明书的编辑与制作。chemBlink 竭诚提供可靠信息,然而不承诺其完备与准确。 阅读全文...




相关化学品安全技术说明书
1,4-苯并二恶烷-6-丙烯酸   3-(2,3-二氢-1,4-苯并二氧杂环己-6-基)丙酸   2,3-二氢-1,4-苯并二氧杂环己-6-丁酸   光克洛   N,N-二乙基-2-(4-甲氧基-3-苯乙基氧基苯基)乙胺盐酸盐   3,4-二溴-5H-呋喃-2-酮   (顺式-4-氨基环己基)-氨基甲酸苄酯   (反式-4-氨基环己基)氨基甲酸苄酯   N-(4-甲氧基苯基)-3-(三氟甲基)-苯胺   3,5-二碘溴苯