Online Database of Chemicals from Around the World

化学品安全技术说明书

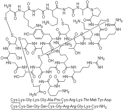
omega-芋螺毒素 M VIIC
[ CAS# 147794-23-8 ]

产品概述

structure of CAS# 147794-23-8, omega-芋螺毒素 M VIIC
产品名称 omega-芋螺毒素 M VIIC
CAS 登录号 147794-23-8
分子式 C106H178N40O32S7
分子量 2749.25
omega-芋螺毒素 M VIIC的详细资料
omega-芋螺毒素 M VIIC的供应商
 
资料来源 SDS 样本
Sigma-Aldrich
www.sigmaaldrich.com/catalog/Lookup.do?N5=All&N3=mode+matchpartialmax&N1=S_ID&ST=RS&N25=0&F=PR&D7=0&N4=147794-23-8
浏览或下载
Cayman
www.caymanchem.com/msdss/24411m.pdf
浏览或下载

免责声明

本页所列之化学品安全技术说明书样本系 chemBlink 公司搜集的互联网公开信息,仅用于指导化学品安全技术说明书的编辑与制作。chemBlink 竭诚提供可靠信息,然而不承诺其完备与准确。 阅读全文...




相关化学品安全技术说明书
N-{[4'-({3-丁基-5-氧代-1-[2-(三氟甲基)苯基]-1,5-二氢-4H-1,2,4-三唑-4-基}甲基)-2-联苯基]磺酰基}-3-甲基-2-噻吩甲酰胺   (S)-2-氨基-6-甲氧基-6-氧代己酸盐酸盐   2-亚氨基-3-甲基苯并噻唑   2-氨基-5-甲基苯并噻唑   (2E)-3-(5-甲基-2-呋喃基)丙烯酸   3,5-二甲氧基-4-乙氧基苯甲酸   Santacruzamate A   甲胺-D2 氘代盐酸盐   3-氧代-N-[(3S)-四氢-2-氧代-3-呋喃基]辛酰胺   甲胺-D5 氘代盐酸盐