Online Database of Chemicals from Around the World

化学品安全技术说明书

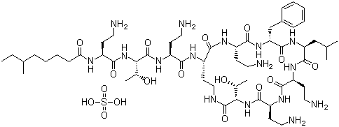
硫酸多粘菌素 B
[ CAS# 1405-20-5 ]

产品概述

structure of CAS# 1405-20-5, 硫酸多粘菌素 B
产品名称 硫酸多粘菌素 B
CAS 登录号 1405-20-5
分子式 C56H98N16O13.H2SO4
分子量 1301.56
硫酸多粘菌素 B的详细资料
硫酸多粘菌素 B的供应商
 
资料来源 SDS 样本
Alfa-Aesar
www.alfa.com/en/content/msds/USA/J61763.pdf
浏览或下载
Sigma-Aldrich
www.sigmaaldrich.com/catalog/Lookup.do?N5=All&N3=mode+matchpartialmax&N1=S_ID&ST=RS&N25=0&F=PR&D7=0&N4=1405-20-5
浏览或下载
TCI
www.spectrumchemical.com/MSDS/TCI-P1923.pdf
浏览或下载

免责声明

本页所列之化学品安全技术说明书样本系 chemBlink 公司搜集的互联网公开信息,仅用于指导化学品安全技术说明书的编辑与制作。chemBlink 竭诚提供可靠信息,然而不承诺其完备与准确。 阅读全文...




相关化学品安全技术说明书
N,N'-1,4-亚苯基二-乙酰胺   蕊木碱甲酯   硫酸新霉素   叔-丁基N-[(3S,5R)-5-甲基-1-(3-硝基-4-吡啶基)-3-哌啶基]氨基甲酸酯   3-苯基-1'-(苯基甲基)-[3,4'-联哌啶]-2,6-二酮   对氯苯乙腈   硫酸卷曲霉素   硫酸庆大霉素   4,4,4-三氟-1-(2-噻吩基)-1,3-丁烷二酮-铕(3:1)   镍酞菁