Online Database of Chemicals from Around the World

化学品安全技术说明书

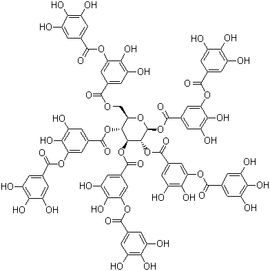
单宁酸
[ CAS# 1401-55-4 ]

产品概述

structure of CAS# 1401-55-4, 单宁酸
产品名称 单宁酸
CAS 登录号 1401-55-4
分子式 C76H52O46
分子量 1701.22
单宁酸的详细资料
单宁酸的供应商
 
资料来源 SDS 样本
Alfa-Aesar
www.alfa.com/en/content/msds/USA/36410.pdf
浏览或下载
Sigma-Aldrich
www.sigmaaldrich.com/catalog/Lookup.do?N5=All&N3=mode+matchpartialmax&N1=S_ID&ST=RS&N25=0&F=PR&D7=0&N4=1401-55-4
浏览或下载
Acros-Organics
www.acros.com/DesktopModules/Acros_Search_Results/Acros_Search_Results.aspx?search_type=CAS&SearchString=1401-55-4
浏览或下载

免责声明

本页所列之化学品安全技术说明书样本系 chemBlink 公司搜集的互联网公开信息,仅用于指导化学品安全技术说明书的编辑与制作。chemBlink 竭诚提供可靠信息,然而不承诺其完备与准确。 阅读全文...




相关化学品安全技术说明书
高氯酸铥盐   2,3,4,6-O-四乙酰基-D-吡喃甘露糖   朝藿定 A1   (S)-1-Boc-吡咯烷-3-甲酸   溴化钌(III)   N-甲基缬更昔洛韦盐酸盐   [4-(4-硝基苯基)-2-噻唑基]硫脲   N-甲基-N-(7-硝基-2,1,3-苯并恶二唑-4-基)甘氨酰氯   泰乐菌素   N-(1-氧代己基)-L-酪氨酰-N-(6-氨基-6-氧代己基)-L-异亮氨酰胺