Online Database of Chemicals from Around the World

化学品安全技术说明书

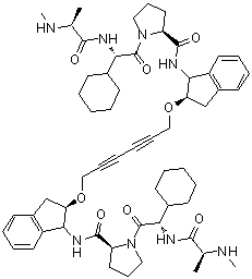
AZD 5582
[ CAS# 1258392-53-8 ]

产品概述

structure of CAS# 1258392-53-8, AZD 5582
产品名称 AZD 5582
CAS 登录号 1258392-53-8
分子式 C58H78N8O8
分子量 1015.29
AZD 5582的详细资料
AZD 5582的供应商
 
资料来源 SDS 样本
Ambeed
file.ambeed.com/static/upload/prosds/am/962/SDS-A961946.pdf
浏览或下载

免责声明

本页所列之化学品安全技术说明书样本系 chemBlink 公司搜集的互联网公开信息,仅用于指导化学品安全技术说明书的编辑与制作。chemBlink 竭诚提供可靠信息,然而不承诺其完备与准确。 阅读全文...




相关化学品安全技术说明书
(11aS)-10,11,12,13-四氢-5-羟基-3,7-双(联苯-4-基)-二茚并[7,1-de:1',7'-fg][1,3,2]二氧磷杂八环-5-氧化物   (11aS)-3,7-双[3,5-二(三氟甲基)苯基]-10,11,12,13-四氢-5-羟基-二茚并[7,1-de:1',7'-fg][1,3,2]二氧磷杂八环 5-氧化物   (11aS)-10,11,12,13-四氢-5-羟基-3,7-二-1-萘基-二茚并[7,1-de:1',7'-fg][1,3,2]二氧磷杂八环-5-氧化物   利福平 EP 杂质B   合成氨基-封端甲状旁腺激素   8-氯-N-[4-(三氟甲氧基)苯基]-2-喹啉胺   Velosulin   氨鲁米特   3,5-二氯-6-甲基-1,4-恶嗪-2-酮   阿普司特-d5