Online Database of Chemicals from Around the World

SDS Samples

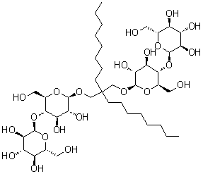
2,2-Dioctyl-1,3-propanediyl bis[4-O-alpha-D-glucopyranosyl-beta-D-glucopyranoside]
[ CAS# 1257852-99-5 ]

Product Info

structure of CAS# 1257852-99-5, 2,2-Dioctyl-1,3-propanediyl bis[4-O-alpha-D-glucopyranosyl-beta-D-glucopyranoside]
Product Name 2,2-Dioctyl-1,3-propanediyl bis[4-O-alpha-D-glucopyranosyl-beta-D-glucopyranoside]
CAS Registry Number 1257852-99-5
Molecular Formula C43H80O22
Molecular Weight 949.08
More information of 2,2-Dioctyl-1,3-propanediyl bis[4-O-alpha-D-glucopyranosyl-beta-D-glucopyranoside]
Suppliers of 2,2-Dioctyl-1,3-propanediyl bis[4-O-alpha-D-glucopyranosyl-beta-D-glucopyranoside]
 
Source SDS Document
Ambeed
file.ambeed.com/static/upload/prosds/am/763/SDS-A762877.pdf
View / download

Disclaimer

The SDS samples above are collected from the Internet by chemBlink and displayed here for the tutorial purpose only. chemBlink LLC provides the information contained herein in good faith but makes no representation as to its comprehensiveness or accuracy. Read full context...


More SDS files for chemicals
(2S)-4-[(tert-Butoxy)carbonyl]-2-morpholineacetic acid   tert-Butyl (R)-(morpholin-3-ylmethyl)carbamate   (3R)-3-Formyl-4-morpholinecarboxylic acid tert-butyl ester   N-[(3S)-3-Morpholinylmethyl]carbamic acid 1,1-dimethylethyl ester   (2S)-2-(2-Oxoethyl)-4-morpholinecarboxylic acid tert-butyl ester   (2R)-2-(2-Oxoethyl)-4-morpholinecarboxylic acid tert-butyl ester   3-Bromo-7-fluoro-1H-indazole   (2R)-2-Morpholineacetic acid   (2S)-2-Morpholineacetic acid   (3S)-3-(2-Oxoethyl)-4-morpholinecarboxylic acid tert-butly ester