Online Database of Chemicals from Around the World

化学品安全技术说明书

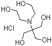
2-[双(2-羟乙基)氨基]-2-(羟甲基)-1,3-丙二醇盐酸盐
[ CAS# 124763-51-5 ]

产品概述

structure of CAS# 124763-51-5, 2-[双(2-羟乙基)氨基]-2-(羟甲基)-1,3-丙二醇盐酸盐
产品名称 2-[双(2-羟乙基)氨基]-2-(羟甲基)-1,3-丙二醇盐酸盐
CAS 登录号 124763-51-5
分子式 C8H19NO5.HCl
分子量 245.70
2-[双(2-羟乙基)氨基]-2-(羟甲基)-1,3-丙二醇盐酸盐的详细资料
2-[双(2-羟乙基)氨基]-2-(羟甲基)-1,3-丙二醇盐酸盐的供应商
 
资料来源 SDS 样本
Sigma-Aldrich
www.sigmaaldrich.com/catalog/Lookup.do?N5=All&N3=mode+matchpartialmax&N1=S_ID&ST=RS&N25=0&F=PR&D7=0&N4=124763-51-5
浏览或下载
Apollo
www.apolloscientific.co.uk/downloads/msds/BI5923_msds.pdf
浏览或下载

免责声明

本页所列之化学品安全技术说明书样本系 chemBlink 公司搜集的互联网公开信息,仅用于指导化学品安全技术说明书的编辑与制作。chemBlink 竭诚提供可靠信息,然而不承诺其完备与准确。 阅读全文...




相关化学品安全技术说明书
N-(1,3-二羟基十八碳-4-烯-2-基)己酰胺   [二(2,2,2-三氟乙氧基)磷酰]乙酸乙酯   比螺酮甲磺酸盐   N-L-酪氨酰-alpha-降钙素基因相关肽   7-[[2-(乙酰氨基)-2-脱氧-beta-D-吡喃葡萄糖基]氧基]-3H-吩恶嗪-3-酮   异龙脑   9-(3-脱氧-3-氟-beta-D-呋喃核糖基)-9H-嘌呤   (2R)-2-[[(9H-芴-9-基甲氧基)羰基]氨基]-4-(甲基磺酰基)丁酸   1-[5-[(2,4-二氟苯基)硫基]-4-硝基-2-噻吩基]乙酮   4-氰基-5-[(3,5-二氯-4-吡啶基)硫基]-N-[4-(甲基磺酰基)苯基]-2-噻吩甲酰胺