Online Database of Chemicals from Around the World

SDS Samples

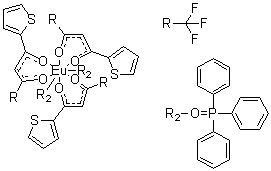
Tris[4,4,4-trifluoro-1-(2-thienyl)-1,3-butanedionato]bis(triphenylphosphine oxide)europium
[ CAS# 12121-29-8 ]

Product Info

structure of CAS# 12121-29-8, Tris[4,4,4-trifluoro-1-(2-thienyl)-1,3-butanedionato]bis(triphenylphosphine oxide)europium
Product Name Tris[4,4,4-trifluoro-1-(2-thienyl)-1,3-butanedionato]bis(triphenylphosphine oxide)europium
CAS Registry Number 12121-29-8
Molecular Formula C60H42EuF9O8P2S3
Molecular Weight 1372.07
More information of Tris[4,4,4-trifluoro-1-(2-thienyl)-1,3-butanedionato]bis(triphenylphosphine oxide)europium
Suppliers of Tris[4,4,4-trifluoro-1-(2-thienyl)-1,3-butanedionato]bis(triphenylphosphine oxide)europium
 
Source SDS Document
Ambeed
file.ambeed.com/static/upload/prosds/am/987/SDS-A986516.pdf
View / download

Disclaimer

The SDS samples above are collected from the Internet by chemBlink and displayed here for the tutorial purpose only. chemBlink LLC provides the information contained herein in good faith but makes no representation as to its comprehensiveness or accuracy. Read full context...


More SDS files for chemicals
5-Bromo-3-(1-methyl-4-piperidinyl)indole   1,3,5,7,8-Pentamethyl-4,4-difluoro-4-bora-3a,4a-diaza-s-indacene   S-Phenyl benzenethiosulfonate   (1R,5R,6R)-6-(trifluoromethyl)-2-azabicyclo[3.1.0]hexane hydrochloride   3-Bromo-alpha-methyl-L-phenylalanine   (2R)-2-Butyl-1-piperazinecarboxylic acid tert-butyl ester   Secodihydro-hydramicromelin B   N-Propyl-4-[(3S)-pyrrolidinyloxy]benzaMide   (2R)-4-Oxo-1,2-piperidinedicarboxylic acid 1-(1,1-dimethylethyl) ester   4-Bromo-3-fluorophenol