Online Database of Chemicals from Around the World

SDS Samples

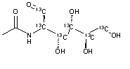
2-Acetamido-2-deoxy-D-(13C6)glucopyranose
[ CAS# 1194446-34-8 ]

Product Info

structure of CAS# 1194446-34-8, 2-Acetamido-2-deoxy-D-(13C6)glucopyranose
Product Name 2-Acetamido-2-deoxy-D-(13C6)glucopyranose
CAS Registry Number 1194446-34-8
Molecular Formula C213C6H15NO6
Molecular Weight 227.16
More information of 2-Acetamido-2-deoxy-D-(13C6)glucopyranose
Suppliers of 2-Acetamido-2-deoxy-D-(13C6)glucopyranose
 
Source SDS Document
TRC
www.trc-canada.com/prod-img/MSDS/A178003MSDS.pdf
View / download

Disclaimer

The SDS samples above are collected from the Internet by chemBlink and displayed here for the tutorial purpose only. chemBlink LLC provides the information contained herein in good faith but makes no representation as to its comprehensiveness or accuracy. Read full context...


More SDS files for chemicals
5-Bromo-7-chlorobenzofuran   2-(Phenylmethyl)-2,6-diazaspiro[3.4]octane   6-Oxo-2,7-diazaspiro[4.4]nonane-2-carboxylic acid 1,1-dimethylethyl ester   4-Bromo-7-fluorobenzofuran   Bicyclo[2.2.2]Octane-1,4-Diol   Dichlorobis[(1,2,3,4,5-h)-1,2,3,4-tetramethyl-2,4-cyclopentadien-1-yl]-Zirconium   Difenoconazole   2-Amino-1,5-Dihydropteridine-4,6-Dione   2-Phenylimidazo[1,2-a]pyridine-3-carboxylic acid ethyl ester   Imidazo[1,5-a]pyridine-1-carboxylic acid ethyl ester