Online Database of Chemicals from Around the World

化学品安全技术说明书

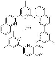
三(2-(3,5-二甲基苯基)喹啉-C2,N')合铱(III)
[ CAS# 1152418-56-8 ]

产品概述

structure of CAS# 1152418-56-8, 三(2-(3,5-二甲基苯基)喹啉-C2,N')合铱(III)
产品名称 三(2-(3,5-二甲基苯基)喹啉-C2,N')合铱(III)
CAS 登录号 1152418-56-8
分子式 C51H42IrN3
分子量 889.13
三(2-(3,5-二甲基苯基)喹啉-C2,N')合铱(III)的详细资料
三(2-(3,5-二甲基苯基)喹啉-C2,N')合铱(III)的供应商
 
资料来源 SDS 样本
Ambeed
file.ambeed.com/static/upload/prosds/am/835/SDS-A834628.pdf
浏览或下载

免责声明

本页所列之化学品安全技术说明书样本系 chemBlink 公司搜集的互联网公开信息,仅用于指导化学品安全技术说明书的编辑与制作。chemBlink 竭诚提供可靠信息,然而不承诺其完备与准确。 阅读全文...




相关化学品安全技术说明书
2-苯甲酰基-N-苯基氨基甲酰肼   (2S,5R)-1,2,5-三甲基哌嗪   (3S,4aS,8aS)-2-(叔丁氧羰基)十氢异喹啉-3-羧酸   4-甲基苯基1-硫代吡喃己糖苷   beta-羟基-4-甲氧基-alpha-亚甲基苯丙酸甲酯   环氧乙烷基硼酸甲基亚氨基二乙酸酯   (1-(环丙烷羰基)哌啶-4-基)氨基甲酸叔丁酯   7-溴-2-氯噻吩并[3,2-d]嘧啶   2-氯-7-碘-5H-吡咯并[3,2-d]嘧啶   (2R,3S,4S,5S)-5-羟基-2,3,4-三(苄氧基)-5-[(苄氧基)甲基]-环己酮