Online Database of Chemicals from Around the World

化学品安全技术说明书

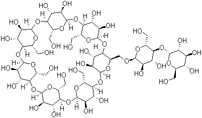
麦芽糖环糊精
[ CAS# 104723-60-6 ]

产品概述

structure of CAS# 104723-60-6, 麦芽糖环糊精
产品名称 麦芽糖环糊精
CAS 登录号 104723-60-6
分子式 C54H90O45
分子量 1459.27
麦芽糖环糊精的详细资料
麦芽糖环糊精的供应商
 
资料来源 SDS 样本
Sigma-Aldrich
www.sigmaaldrich.com/catalog/Lookup.do?N5=All&N3=mode+matchpartialmax&N1=S_ID&ST=RS&N25=0&F=PR&D7=0&N4=104723-60-6
浏览或下载
TCI
www.spectrumchemical.com/MSDS/TCI-M1219.pdf
浏览或下载

免责声明

本页所列之化学品安全技术说明书样本系 chemBlink 公司搜集的互联网公开信息,仅用于指导化学品安全技术说明书的编辑与制作。chemBlink 竭诚提供可靠信息,然而不承诺其完备与准确。 阅读全文...




相关化学品安全技术说明书
巴尼地平   颜料紫 19   N-叔丁氧羰基-D-谷氨酸 5-叔丁酯   2-氧代环戊烷羧酸甲酯   癸基苯   (3,5-二甲基苯基)(4-甲氧基苯基)甲酮   2-溴-4-氟-6-硝基苯胺   1,1,2,2-四氟-2-(1,1,2,2-四氟乙氧基)-乙烷磺酰氟   8-苯基辛醇   十二烷基溴化吡啶